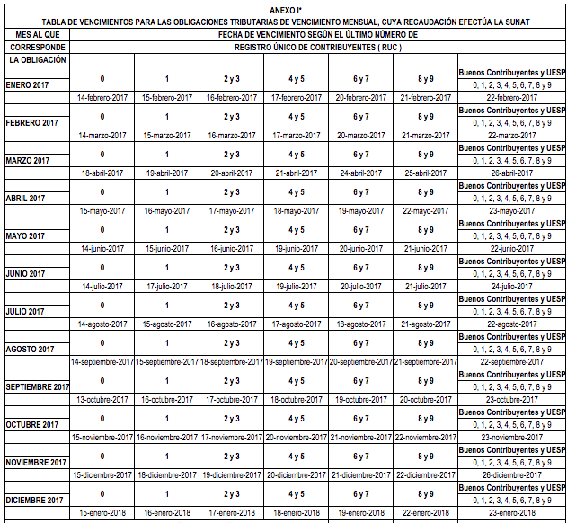
Mediante Resolución de Superintendencia 335-2016 publicado el 31 de diciembre de 2016 se procedió a establecer el cronograma mensual de obligaciones tributarias para el ejercicio 2017.
[clickToTweet tweet=”Cronograma Mensual de Obligaciones Tributarias 2017 en Smartphone” quote=”Cronograma Mensual de Obligaciones Tributarias 2017 en Smartphone”]
En el artículo 1 de la resolución mencionada establece los deudores tributarios cumplirán con realizar el pago de los tributos de liquidación mensual, cuotas, pagos a cuenta mensuales, tributos retenidos o percibidos, así como con presentar las declaraciones relativas a los tributos a su cargo administrados y/o recaudados por la SUNAT, correspondiente a los periodos tributarios de enero a diciembre del año 2017, de acuerdo con el cronograma detallado:

Obligaciones Tributarias en tu Celular
Una manera de recordar los vencimientos de los impuestos mensuales es sincronizándolos con tu celular, de esa manera es muy fácil recordarlos.
Además puedes configurar alertas o recordatorios para algún vencimiento en especial.
En este artículo quiero compartir contigo como poder visualizar todas las obligaciones tributarias del 2017 en tu celular (Android o Iphone).
Requisitos:
- Tener una cuenta de gmail
- Tener un celular (Android o Iphone)
Si no tienes una cuenta de gmail, puedes crear uno en el siguiente link –> crear cuenta de Gmail
Implementación del Cronograma
Paso 01. Añadir el Calendario “Noticiero Contable”
Para realizar eso solo haz clic en el icono que dice “+ Google Calendario”

Te pedirá que inicies sesión con tu cuenta de gmail.
Luego te mostrará un pequeño cuadro con una ventana que dirá:

Haces clic donde dice “Yes, add this calendar” –> “Si, acepto este calendario”.
El calendario se añadirá a tu cuenta de gmail, para verificar solo tienes que navegar en el calendario.
Te comparto un video para que puedas seguir los procedimientos:
Paso 02. Configuración con tu celular
Celular Android
La configuración en un celular Android es súper sencilla, debido a que obligatoriamente tuviste que ingresar una cuenta de gmail para usar tu celular.
Solo tienes que ir directamente a la opción de calendarios de tu celular, ir a la opción configuración y sincronizar calendarios.
Debe aparecer el calendario “Noticiero Contable” , lo agregas y eso es todo, ya debe reflejarse el cronograma.
Celular Iphone
La opción más sencilla es instalar la aplicación de google calendario: “App Google Calendar”.

Te pedirá que añadas una cuenta de google (ingresas los datos de la misma cuenta del paso uno).
Listo ya podrás visualizar el calendario desde la aplicación.
Hola Miguel, si durante el año recien empece a emitir reibos en noviembre, uno por 3000 y otro por 1000 soles. Debo efectuar la declaracion mensual? tengo la exoneracion y no me retuvieron, deberian retenerme el 8%?, en diciembre tambien emitire reibo por 3000.
Gracias,
Jaime
No, es mas no pagaras impuestos por la emisión de los recibos por honorarios.
Gracias por los datos y tips.
Muchas gracias 🙂
Mil gracias Miguel por otorgarnos esta herramienta de trabajo.
GRACIAS inmensamente que Dios te de mucha salud y sabiduría.
Muchas gracias 🙂
Muy interesante y de mucha ayuda. Gracias
Muchas gracias 🙂
Siempre innovando, genial muchas felicidades
Gracias, buen día 🙂
Gracias por compartir tus conocimientos.
Exitos.
Gracias por el comentario 🙂
Genial! saludos 🙂
Muchas gracias por el comentario 🙂
Muy útil todo lo que nos envías, gracias!!!
Gracias, buen día 🙂
Como siempre Miguelito gracias por compartir conocimientos. Buen fin de semana,
Gracias, igualmente.
Eso me gusta de esta página que siempre se está innovando, like!
Muchas gracias 🙂
Hola Miguel …..
Será posible que crees uno.con el cronograma de Libros Electrónicos??
Si, en las próximas semanas vamos a sacar un de libros electrónicos.